
ปัญหาและความจำเป็น
การใช้งานเครือข่ายสารสนเทศในปัจจุบันมีความเสี่ยงสูงจากภัยคุกคามทางไซเบอร์หลากหลายรูปแบบ เช่น การโจมตีแบบ DDoS (Distributed Denial of Service) และ Ransomware ซึ่งอาจส่งผลกระทบต่อข้อมูลและความมั่นคงของรัฐและองค์กร จึงจำเป็นต้องมีระบบเฝ้าระวังและป้องกันที่ครอบคลุม
พันธกิจ
• ป้องกันเชิงรุก: สกัดกั้นและยับยั้งภัยคุกคามทางไซเบอร์ในทุกรูปแบบ ก่อนที่จะส่งผลกระทบต่อระบบและข้อมูลสำคัญของสถานศึกษา
• เฝ้าระวังภัยอย่างใกล้ชิด: ตรวจสอบ วิเคราะห์ และติดตามกิจกรรมทางไซเบอร์อย่างต่อเนื่อง เพื่อตรวจจับสัญญาณความผิดปกติและภัยคุกคามที่อาจเกิดขึ้นในแบบเรียลไทม์
• แจ้งเตือนฉับไว: รายงานและแจ้งเตือนเหตุการณ์ความปลอดภัยทางไซเบอร์ไปยังหน่วยงาน และผู้ที่เกี่ยวข้องอย่างรวดเร็วและแม่นยำ เพื่อให้สามารถรับมือได้อย่างทันท่วงที
• ตอบสนองและแก้ไขอย่างมีประสิทธิภาพ: ดำเนินการวิเคราะห์ หาสาเหตุ และแก้ไขปัญหาที่เกิดจากภัยคุกคามทางไซเบอร์อย่างรวดเร็วและมีประสิทธิภาพ เพื่อลดผลกระทบและความเสียหายที่อาจเกิดขึ้น
• เสริมสร้างความตระหนักรู้: ให้ความรู้และสร้างความตระหนักด้านความปลอดภัยทางไซเบอร์ แก่บุคลากรและนักศึกษาในสถาบันอุดมศึกษา
• พัฒนาศักยภาพ: พัฒนาบุคลากรและเทคโนโลยีของศูนย์ SOC อย่างต่อเนื่อง เพื่อให้สามารถรับมือ กับภัยคุกคามที่ซับซ้อนและเปลี่ยนแปลงไป

การเฝ้าระวังภัยคุกคาม
แบบเรียลไทม์ :
ตรวจสอบกิจกรรม ทางไซเบอร์ตลอด 24 ชั่วโมง เพื่อตรวจจับสัญญาณของภัยคุกคามที่อาจเกิดขึ้น

การแจ้งเตือนและตอบสนอง ต่อเหตุการณ์ :
แจ้งเตือนทันทีเมื่อพบเหตุการณ์ความปลอดภัยและดำเนินการตอบสนอง เพื่อลดผลกระทบ

การจัดการช่องโหว่ :
ระบุ ประเมินเหตุการณ์
และจัดการช่องโหว่ในระบบที่เกิดขึ้น

การวิเคราะห์ข้อมูลภัยคุกคาม :
รวบรวม วิเคราะห์ และใช้ประโยชน์จากข้อมูลภัยคุกคามล่าสุด เพื่อป้องกันการโจมตีในอนาคต
เทคโนโลยีและเครื่องมือที่ใช้
1. Swimlane: ระบบบริหารการตอบสนองภัยคุกคามแบบอัตโนมัติ
2. Log Radar (SIEM) ระบบที่ทำหน้าที่เป็นสมองด้านความปลอดภัยในโลกไซเบอร์ โดยจะวิเคราะห์ข้อมูล Log เพื่อ ตรวจจับภัยคุกคามแบบเรียลไทม์ เช่น มัลแวร์ หรือแรนซัมแวร์
- ตรวจจับและแจ้งเตือนทันที: เฝ้าระวังตลอด 24 ชั่วโมง
- สืบสวนหาต้นตอ: สามารถวิเคราะห์ย้อนหลังเพื่อหาต้นตอของปัญหา
- เห็นภาพรวมความปลอดภัย: รวบรวมข้อมูลจากหลายส่วน ทำให้มองเห็นภาพรวมระบบได้อย่างชัดเจน
- อัปเดตภัยคุกคาม: เรียนรู้และอัปเดตข้อมูลภัยคุกคามใหม่ๆ อยู่เสมอ เพื่อความแม่นยำในการตรวจจับ
3. Arbor Sightline ระบบป้องกันภัยที่ออกแบบมาเพื่อ รับมือการโจมตีแบบ DDoS โดยเฉพาะ ทำหน้าที่เหมือนเรดาร์ที่คอยสแกนทราฟฟิกเครือข่าย
- ตรวจจับและรับมือแบบเรียลไทม์: วิเคราะห์ข้อมูลเครือข่ายเพื่อหาพฤติกรรมผิดปกติและแจ้งเตือนทันที
- ทำงานร่วมกับระบบอื่น: สามารถทำงานร่วมกับระบบป้องกันอื่นๆ เช่น Arbor TMS เพื่อบล็อกทราฟฟิกอันตรายได้แบบอัตโนมัติ
- ป้องกันเชิงรุก: วิเคราะห์ข้อมูลเชิงลึกเพื่อวางแผนและปรับกลยุทธ์การป้องกันให้ทันสมัย
- แจ้งเตือนอัตโนมัติ: เมื่อมีการโจมตี จะแจ้งเตือนทันทีและสามารถสั่งการป้องกันอัตโนมัติ พร้อมสร้างรายงานความปลอดภัยให้คุณเข้าใจง่าย
การดำเนินงาน Mitigation ที่ตรวจพบและแก้ไข ปี 2568
โครงสร้างการรายงานเหตุการณ์ (Incident Reporting Structure)
UniNet ได้ทำการจัดทำแผนผังโครงสร้างการรายงานเหตุการณ์ของบุคลากรภายในทีมรับมือฯ ซึ่งประกอบไปด้วยผู้บริหารหน่วยงาน หน่วยงานกำกับดูแล หน่วยงานรับแจ้งเหตุการณ์ความมั่นคงปลอดภัยไซเบอร์ตามกฎหมาย และหน่วยงานภายนอก เพื่อการทำงานที่เป็นระบบและตอบสนองต่อภัยคุกคามได้อย่างทันท่วงที
1. แผนการรับมือเหตุภัยคุกคามทางไซเบอร์ (Cybersecurity Incident Response Plan)

2. ขั้นตอนการรับมือภัยคุกคามแบบ Denial of Service/Distributed Denial-of-Service (DoS/DDoS Playbook)

3. ขั้นตอนการรับมือภัยคุกคามแบบ Data Breach (Data Breach Playbook)

4. ขั้นตอนการรับมือภัยคุกคามแบบ Ransomware (Ransomware Playbook)

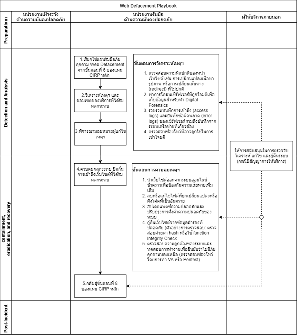
5. ขั้นตอนการรับมือภัยคุกคามแบบ Web Defacement (Web Defacement Playbook)

Live Cyber Threat Map by threatmap.checkpoint.com